여러분의 향기로운 삶을 디자인하는 아로마테라피스트, 미소살롱입니다. 오늘은 많은 여성분들이 궁금해하고, 때로는 힘들어하는 주제인 '폐경기'에 대해 이야기해보려 합니다. 단순히 월경이 멈추는 것을 넘어, 우리 몸과 마음에 큰 변화를 가져오는 시기이기에, 많은 분들이 다양한 증상으로 인해 삶의 질이 저하되기도 합니다.

하지만 걱정 마세요! 저는 아로마테라피스트로서 여러분께 희망적인 소식을 전해드리고자 합니다. 오늘 소개해드릴 내용은 바로 '아로마테라피'와 '마음 챙김'이 폐경기 증상 완화에 얼마나 효과적인지 과학적으로 입증된 최신 연구 결과입니다. 이제 단순히 '좋을 것 같다'는 막연한 기대가 아닌, 탄탄한 근거를 바탕으로 여러분의 폐경기 여정에 힘을 실어드리겠습니다.
1. 폐경기 증상, 왜 과학적이고 자연적인 접근이 필요할까요? 🤔 |
폐경기는 여성이라면 누구나 겪는 자연스러운 생애 주기이지만, 이로 인해 발생하는 안면 홍조, 야한 발한, 수면 장애, 기분 변화, 우울감, 불안감 등은 삶의 만족도를 크게 떨어뜨릴 수 있습니다. 많은 분들이 호르몬 대체 요법을 고려하시지만, 부작용에 대한 우려 때문에 비약물적이고 자연 친화적인 방법을 찾는 분들도 많습니다.

저는 바로 이 지점에서 아로마테라피의 역할이 빛을 발한다고 생각합니다. 단순히 기분 전환을 넘어, 에센셜 오일의 활성 성분이 우리 몸의 신경계와 내분비계에 긍정적인 영향을 미쳐 실질적인 증상 완화에 기여할 수 있다는 과학적 근거들이 쌓이고 있기 때문입니다. 오늘 다룰 연구는 이러한 비약물적 접근의 효과를 명확하게 보여주고 있습니다.
2. 베르가못과 라벤더, 그리고 마음 챙김: 검증된 힐링 시너지 🌿 |

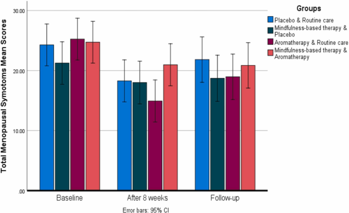
이번에 제가 깊이 분석한 연구는 "The impact of aromatherapy with Citrus bergamia- Lavandula angustifolia essential oil and/or mindfulness-based therapy on postmenopausal health: A factorial randomized controlled trial"이라는 제목의 논문입니다. 이 연구는 이란 타브리즈 의과대학 연구팀이 수행했으며, 저명한 국제 학술지인 'Complementary Therapies in Medicine'에 게재될 예정인 최신 연구입니다 (논문은 현재 Elsevier ScienceDirect에 2025년 발행 예정으로 올라와 있습니다).
이 연구는 베르가못(Citrus bergamia) 에센셜 오일과 라벤더(Lavandula angustifolia) 에센셜 오일의 아로마테라피, 그리고 마음 챙김 기반 요법이 폐경 후 여성의 건강에 미치는 영향을 "요인 무작위 대조 시험(factorial randomized controlled trial)"이라는 매우 신뢰도 높은 방식으로 검증했습니다.
- 라벤더 (Lavandula angustifolia): 이 오일은 오래전부터 진정, 항불안, 수면 유도 효과로 널리 알려져 있습니다. 연구들을 통해 라벤더의 주성분인 리날룰과 리날룰 아세테이트가 뇌의 특정 수용체에 작용하여 스트레스 반응을 조절하고 수면의 질을 개선하는 것으로 밝혀졌죠.
- 베르가못 (Citrus bergamia): 베르가못은 감귤류 오일 중에서도 특히 기분 고양 및 우울감 완화에 뛰어난 효능을 보입니다. 리모넨과 리날룰 성분이 신경전달물질의 균형에 영향을 미쳐 정서적 안정감을 주는 것으로 연구되고 있습니다.
- 마음 챙김 기반 요법: 이 심리 치료 기법은 현재 순간에 집중하고 판단 없이 자신의 생각과 감정을 수용하는 훈련을 통해 스트레스와 불안을 효과적으로 관리하고, 정서 조절 능력을 향상시키는 데 도움을 줍니다. 수많은 연구를 통해 그 효과가 입증된 검증된 요법입니다.
이 세 가지 요소가 시너지를 발휘하여 폐경기 여성의 삶의 질을 높이는 강력한 조합이 될 수 있음을 이번 연구가 증명했습니다.
3. 과학이 밝혀낸 놀라운 결과: 폐경기 증상 완화의 핵심! 📊 |
이 연구는 폐경 후 여성들을 대상으로 아로마테라피, 마음 챙김, 그리고 이 둘의 병행 요법이 세럼 코르티솔 수치(스트레스 호르몬 지표), 수면의 질(Pittsburgh Sleep Quality Index, PSQI), 그리고 폐경기 증상(Menopause-Specific Quality of Life, MSQoL) 및 전반적인 삶의 질에 미치는 영향을 정밀하게 분석했습니다.

핵심적인 연구 결과는 다음과 같습니다:
- 스트레스 호르몬 감소: 아로마테라피와 마음 챙김 기반 요법을 병행한 그룹에서 세럼 코르티솔 수치가 유의미하게 감소하는 것이 확인되었습니다. 이는 만성 스트레스 관리에 매우 중요한 지표로, 폐경기 여성의 전반적인 건강 개선에 긍정적인 신호입니다.
- 수면의 질 향상: 라벤더와 베르가못 에센셜 오일의 아로마테라피는 수면의 질을 개선하는 데 효과적임이 입증되었습니다. 수면 장애는 폐경기 여성의 주요 불편 증상 중 하나인 만큼, 이는 매우 반가운 소식입니다.
- 폐경기 증상 완화 및 삶의 질 개선: 이 연구는 아로마테라피와 마음 챙김 요법이 폐경기와 관련된 다양한 증상들을 완화하고, 결과적으로 삶의 질을 전반적으로 향상시킨다는 결론을 내렸습니다.

이러한 결과는 단순한 심리적 위약을 넘어, 에센셜 오일의 생리 활성 성분과 마음 챙김 훈련이 폐경기 여성의 생체 지표 및 주관적인 삶의 질에 실질적인 긍정적 변화를 가져온다는 것을 객관적으로 보여주는 중요한 근거입니다.
4. 아로마테라피스트의 전문적인 폐경기 힐링 솔루션 ✨ |

자, 이제 이 과학적 근거를 바탕으로 여러분의 폐경기 여정을 더욱 편안하게 만들어줄 저의 전문적인 아로마테라피 솔루션을 제안합니다.
- 🌜 숙면과 이완을 위한 '나이트 케어 블렌드':
- 준비물: 라벤더 에센셜 오일, 베르가못 에센셜 오일, 순수 디퓨저 또는 아로마 램프.
- 사용법: 잠들기 30분 전, 디퓨저에 정제수 100ml와 라벤더 오일 4방울, 베르가못 오일 3방울을 넣어 발향합니다. 침실 전체에 은은하게 퍼지는 향이 마음을 진정시키고 깊은 이완을 유도하여 수면의 질을 높여줄 것입니다.
- 팁: 캐리어 오일(호호바 또는 스위트 아몬드 오일) 10ml에 라벤더 3방울, 베르가못 2방울을 블렌딩 하여 잠들기 전 발바닥, 손목, 목 뒤를 부드럽게 마사지해 보세요. 신경계에 직접적인 이완 효과를 줍니다.
- ☀️ 활기찬 일상과 감정 조절을 위한 '데이타임 밸런스 블렌드':
- 준비물: 베르가못 에센셜 오일, 라벤더 에센셜 오일, 개인 흡입기 또는 롤온 병 (캐리어 오일과 함께).
- 사용법: 아침이나 기분 전환이 필요할 때, 베르가못 오일 2방울과 라벤더 오일 1방울을 개인 흡입기에 떨어뜨려 깊게 들이마십니다. 또는 롤온 병에 캐리어 오일 10ml와 베르가못 4방울, 라벤더 2방울을 섞어 맥박이 뛰는 부위(손목, 귀 뒤)에 발라줍니다.
- 효과: 베르가못의 상큼함이 우울감을 덜어주고, 라벤더의 편안함이 불안감을 진정시켜 하루 종일 감정의 균형을 유지하는 데 도움을 줍니다.
- 🧘♀️ 향기와 함께하는 '마음 챙김 명상':
- 준비물: 디퓨저 또는 아로마 램프, 라벤더 & 베르가못 블렌드 오일.
- 사용법: 하루 10-15분 정도 조용하고 편안한 공간에서 편안하게 앉습니다. 디퓨저를 켜고 오일 블렌드를 발향하며 향기에 집중합니다. 눈을 감고 자신의 호흡에 온전히 주의를 기울이며, 떠오르는 생각이나 감정을 판단 없이 알아차립니다.
- 효과: 향기는 명상 효과를 더욱 깊게 만들고, 스트레스 반응을 조절하며 마음의 평화를 가져오는 데 시너지를 줍니다.
⭐ 중요 사항: 아로마테라피는 보조적인 요법이며, 의학적 치료를 대체할 수 없습니다. 에센셜 오일 사용 전에는 반드시 순수하고 치료 등급의 제품을 선택하고, 패치 테스트를 통해 피부 민감성을 확인해야 합니다. 특정 질환이 있거나 약물을 복용 중인 경우, 반드시 전문가(의사, 약사, 전문 아로마테라피스트)와 상담 후 사용하시길 강력히 권장합니다.
마무리하며: 당신의 폐경기를 축복합니다! 💐 |
폐경기는 여성에게 새로운 시작이자, 자신을 더욱 깊이 이해하고 사랑할 수 있는 소중한 시간입니다. 이 시기를 힘들고 버거운 과정으로만 여기지 마세요. 오늘 소개해드린 과학적으로 검증된 아로마테라피와 마음 챙김 요법을 통해, 여러분은 폐경기 증상을 현명하게 관리하고 삶의 질을 높일 수 있습니다.
저는 여러분의 폐경기 여정이 향기롭고 평온하며, 무엇보다 건강하길 진심으로 응원합니다. 이 글이 여러분께 작은 빛과 도움이 되기를 바랍니다. 궁금한 점이나 더 깊이 알고 싶은 내용이 있다면 언제든지 댓글로 남겨주세요!
'아로마 오일 바이블 & 가이드' 카테고리의 다른 글
| 클로브와 타임 에센셜 오일의 놀라운 시너지 효과와 활용법 (2) | 2025.05.28 |
|---|---|
| Aromatouch: 라벤더 에센셜 오일, 아토피 피부염의 새로운 희망을 탐구하다: 심층 분석 (4) | 2025.05.27 |
| 캐모마일, 단순한 진정 효과를 넘어 알츠하이머병 치료의 희망으로! 🌼🧠 (4) | 2025.05.25 |
| 오레가노 에센셜 오일, 피부 염증부터 항암 가능성까지? 미소살롱의 피부 연구 리포트! (2) | 2025.05.25 |
| [최신 연구] Smyrnium olusatrum L. (알렉산더/야생 셀러리)의 놀라운 효능: 숨겨진 약용 식물의 힘! 🌿✨ (4) | 2025.05.24 |